
頻譜儀分辨率帶寬RBW是-3dB帶寬,是頻譜儀的頻率分辨率;等效噪聲帶寬是等效理想矩形濾波器的帶寬,噪聲功率對應等效噪聲帶寬。在使用頻譜儀測試噪聲信號時,需要計算RBW與等效噪聲帶寬的修正系數,從而獲得真實噪聲功率讀數。本文詳細推導濾波器的傳遞函數,分析等效噪聲帶寬和形狀因子。
頻譜儀RBW的帶寬計算頻譜儀的RBW是高斯型帶通濾波器,其幅頻響應為高斯函數形式:

幅度的平方(功率響應)傳遞函數:

其中:
H0是常數,代表最大增益
σ是濾波器帶寬參數,是幅頻響應標準差
f是頻率,f0是濾波器中心頻率
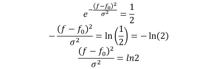
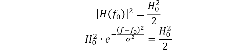
RBW -3dB帶寬定義為信號功率衰減到最大值一半時的頻率范圍。由于功率與幅度平方成正比,最大功率位于f = f0,當功率降為1/2時:

幅度歸一化H0=1,



濾波器的等效噪聲帶寬,是等效理想矩形濾波器的帶寬,噪聲功率對應等效噪聲帶寬。等效噪聲帶寬ENBW:

高斯濾波器等效噪聲帶寬系數ENBW/B3dB:

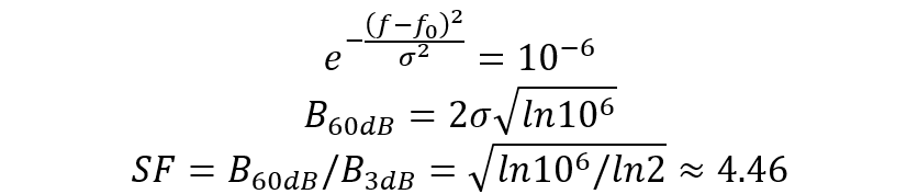
頻譜儀RBW濾波器的形狀因子

頻譜儀參考文獻中的等效噪聲帶寬差異
問:為什么頻譜儀參考文獻中給出等效噪聲帶寬系數是1.2而不是1.0649計算值?
答:這是因為歷史()上頻譜儀中頻濾波器是模擬濾波器,而且為保證濾波器帶內紋波和帶外抑制,是多級級聯濾波器的方案,通用的設計方案是:等效噪聲帶寬系數ENBW/B3dB調測校準值約1.2,B60dB/B3dB形狀因子約8:1。
現代頻譜儀的RBW濾波器不再保留模擬中頻濾波器(雖然沒有必要,也有某些型號頻譜儀用級聯數字濾波器繼承模擬濾波器的參數),通常統一采用數字中頻濾波器,是標準的高斯濾波器,保證1.0649的等效噪聲帶寬系數以及4.46的形狀因子:
ENBW/B3dB≈1.0649
SF = B60dB/B3dB≈4.46
現代頻譜儀的噪聲測試功能,噪聲功率測試值通常自動修正等效噪聲帶寬,無需再次人工修正。
電話
微信